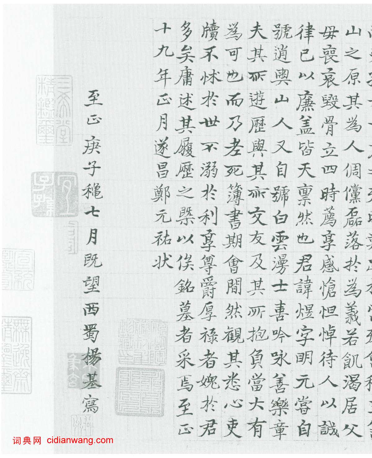
楊基小楷《陶煜行狀》
作者:楊基 書體:小楷
楊基《陶煜行狀》 ,紙本,楷書,尺寸:116.8×28.7cm,書於元至正二十年(庚子年,1360年), 吉林省博物館藏。
釋文:
元故白雲漫士陶君行狀
君姓陶氏,其得姓始於堯。至晉,長沙公與靖節處士皆以垂名無窮。更江左五朝,歷唐、以入於宋,衣冠蟬聯,世不乏人。有家於台。台之族有別為四,其一在黃岩州...
落款:至正庚子年秋七月既望西蜀楊基寫
此文即是元代名士鄭元祐(1292—1364)為另 名士陶煜(1286—1358)所撰,由楊基所書。手卷為烏絲界欄,小楷書, 計一千三百餘字。通觀全篇,雖為小楷 正書,卻氣勢恢弘、靈動縱逸,筆意中 可見鍾繇之影響。此卷堪稱書法與文獻 雙璧,彌足珍貴。原為清內府舊藏,鈐有“嘉慶御覽之寶”、“石渠寶笈”、“寶笈三編”、“宜子孫”、“三希堂精鑒璽”等藏印。
2018-12-25 10:07:40







很多人對殘破的法帖拓本觀感不佳,欣賞不來其中的妙處。但是,在這裡不得不說,石鼓文...
章草急就章 紙本 縱20.3厘米 橫342.5厘米 北京故宮博物院藏本《急就章》...
高鳳翰《草書齋夜五律詩軸》 紙本草書 115×62cm 青島市博物館藏 釋文:...
曾熙《隸書雅量清言五言聯》紙本楷書 155×39cm×2 1903年作釋文:...
李待問《草書七言絕句詩軸》,陶淵明飲酒詩軸明·李待問。灑金箋。凡六行。共六十三...
陳洪綬《行書不譚聲氣不譚文七絕詩》扇面 金箋 16.5×51cm 約順治二年(...
【釋文】苦筍及茗異常佳,乃可逕來。懷素上。懷素《苦筍帖》卷,草書,絹本,無年款。...
米芾王略帖贊 (《破羌帖跋贊》) 行楷書 縱22.9厘米 橫48.2厘米 北京故...
趙孟頫行書《道場詩帖》,縱29.7厘米,橫61.7厘米,北京故宮博物館藏。道場山...
黃輝《行書五律詩軸》紙本行書 349.4×104cm 四川省博物館藏釋文:石髓...