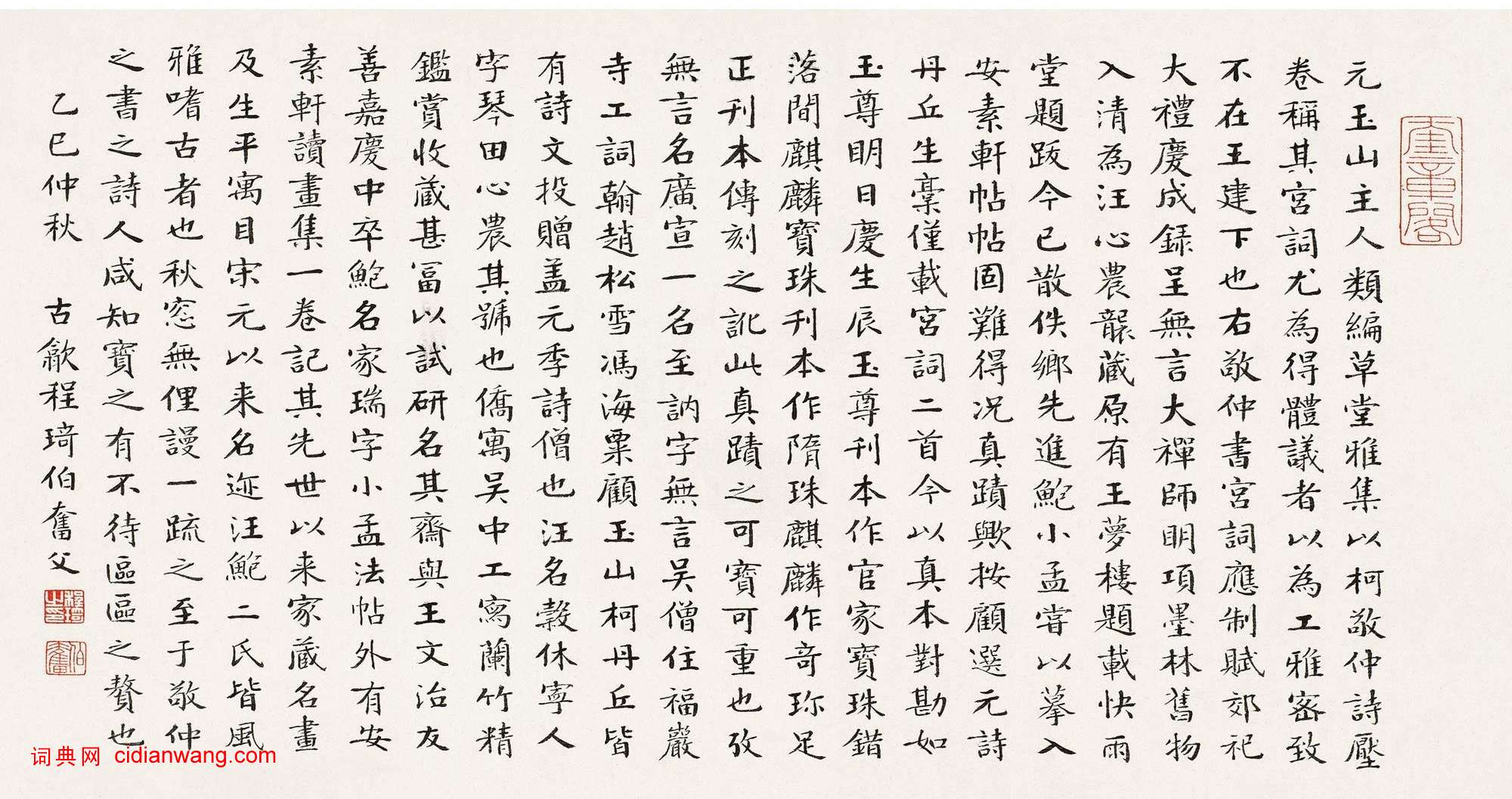
程琦跋柯九思《上京宮詞》
作者:程琦 書體:楷書
程琦題跋柯九思《上京宮詞》 ,出自中茂聖佳2011秋拍中的《元 柯九思 楷書上京宮詞卷》中,成交價264.5萬元,
釋文:
元《玉山主人類編·草堂雅集》,以柯敬仲詩壓卷,稱其宮詞尤為得體;議者以為工雅密緻,不在王建下也。右敬仲書《宮詞》、《應制賦郊祀大禮慶成》,錄呈無言大禪師,明項墨林舊物,入清為汪心農襲藏,原有王夢樓題,載《快雨堂題跋》,今已散佚。鄉先鮑小孟嘗以摹入安素軒帖,帖固難得,況真跡歟。按,顧選元詩,丹丘生稿僅載宮詞二首,今以真本對勘,如“玉尊明日慶生辰”,“玉尊”刊本作“官家”;“寶珠錯落間麒麟”,“寶珠”刊本作“隋珠”,“麒麟”作“奇珍”,足正刊本傳刻之訛。此真跡之可寶可重也。考無言名廣宣,一名至訥,字無言;吳僧,住福嚴寺,工詞翰。趙松雪、馮海粟、顧玉山、柯丹丘皆有詩文投贈,蓋元季詩僧也。汪名劍,休林人,字琴田心農耳,號也喬,寓吳中,工寫蘭、竹,精鑑賞,收藏甚富,以試研名其齊,與王文治友善,嘉慶中卒。鮑名家瑞,字小孟,法帖外有《安素軒讀畫集》一卷,記其先世以來家藏名畫,及生平寓目宋元以來名跡。汪、鮑二氏皆風雅嗜古者也。秋窗無俚,謾一疏之,至於敬仲之書、之詩,人鹹知寶之,有不待區區之贅也。乙巳(1965年)仲秋,古歙程琦伯奮父。
鈐印:程琦之印、伯奮、奎章閣
程琦,安徽合肥人。字伯奮,號二石老人,又號可庵,齋號雙宋樓、萱睴堂,奎章閣。著有《萱暉堂書畫錄》。
2018-1-22 7:52:01

【釋文】卜商讀書畢,見孔子。孔子問焉,何爲於書。商曰,書之論事,昭昭如日月之代明...
明代文徵明行書作品欣賞《李令君登君山二首》紙本,天津藝術博物館藏。釋文: 同江陰...
李邕行書 書法欣賞《久別帖》(宋拓)釋文:“久別,懷仰增深,即日奉。惟動靜安勝。...
范成大《荔酥沙魚帖》紙本 26.8×30.8cm 台北故宮博物院藏 資料來自《...
《盧鴻草堂十志圖題跋》釋文:右覽前晉留書記左郎中家舊傳盧浩然隱君嵩山十志。盧本名...
柳公權《奉榮帖》(又名《赤箭帖》、《榮示帖》) 行書 【釋文】:奉榮示,承已上訖...
趙佶《棣棠花詩帖》紙本 34.8×19.4cm 北京故宮博物院藏【釋文】 棣棠...
陳淳,名淳,字道復,後以字行,別字復甫,自號白陽山人。長洲人。陳淳自幼飽學,對於...
趙孟頫行書 《送瑛公住持隆教寺疏》卷 紙本,縱47.7、橫333.5厘米。天津博...
傅山《丹楓閣記》,此帖共有兩種,真跡本共八板。前七板每板七行,最後一板八行。藏山...