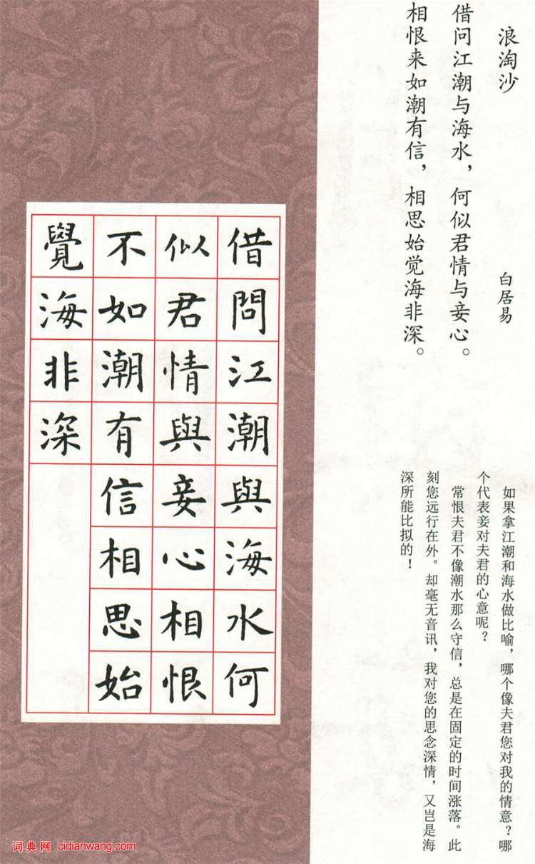
書法欣賞魏晉書法唐朝書法宋朝書法元朝書法明朝書法清朝書法近現代書法字典網>> 歷代書法>> 書法欣賞>> 虞世南楷書集字唐詩(34)正文 虞世南楷書集字唐詩(34)作者:不詳 書體: 白居易·浪淘沙 首 頁 上一頁 30 31 32 33 34 35 36 37 38 39 下一頁 尾 頁相關文章:北魏楷書《高道悅墓誌》 (楷書)《高道悅墓誌》,北魏神龜二年(公元519年)刊,1969年出土于山東省德州城北胡...王寵草書《自書五憶歌》 (草書)王寵《自書五憶歌》 紙本 草書 29.3×294.7厘米。台北故宮博物院藏。 ...文徵明大字行書《題宋高宗賜岳飛手敕》 (行書)文徵明書法題跋《宋高宗賜岳飛手敕》,1559年文衡山90歲行書題宋高宗賜岳飛手敕...邢侗《行書臨柳公權論筆帖》 (行書)邢侗《行書臨柳公權論筆帖》 上海博物館藏 【資料...劉墉行書《錄容台集語軸》 (行書)劉墉《錄容台集語軸》絹本行書 171.2×50.3cm 青島市博物館藏釋文:袁...西漢隸書《馬王堆帛書》 (隸書)湖南省博物館藏 1973年在湖南長沙馬王堆三號漢墓出土。包括《戰國策縱橫家書》、...張即之行書《台慈帖頁》 (行書)張即之《台慈帖頁》 紙本行書 30.9×43.1cm 北京故宮博物院藏此帖結...張旭·古詩四帖 (草書)【釋文】東明九芝蓋,北燭五雲車。飄颻入倒景,出沒上煙霞。春泉下玉霤,青鳥向金華。...徐渭草書《李太白詩卷》 (草書)徐渭《草書李太白詩卷》 紙本草書 30×383cm 王已千舊藏釋文:(尋山僧...康里巎巎草書《李白古風詩卷》 (草書)草書詩書卷之《李白古風詩卷》 紙本 35.0×63.8cm 點擊瀏覽大圖 ...