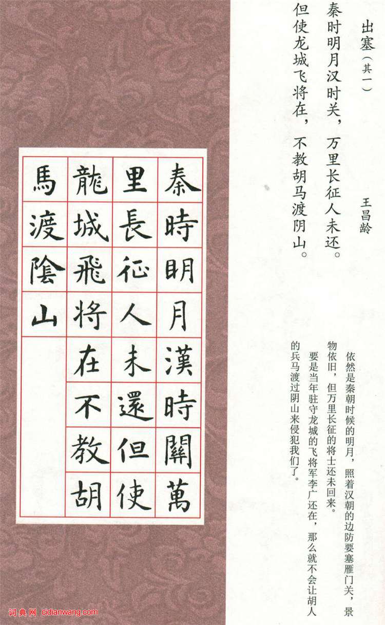
書法欣賞魏晉書法唐朝書法宋朝書法元朝書法明朝書法清朝書法近現代書法字典網>> 歷代書法>> 書法欣賞>> 虞世南楷書集字唐詩(10)正文 虞世南楷書集字唐詩(10)作者:不詳 書體: 王昌齡·出塞(其一) 首 頁 上一頁 6 7 8 9 10 11 12 13 14 15 下一頁 尾 頁相關文章:懷仁集王羲之《聖教序》高清拓本 (行書)懷仁集王羲之《聖教序》碑因碑首刻七佛像,又稱《七佛聖教序》。鹹亨三年(672)建...徐渭《行書錄杜甫詩二首扇面》 (行書)徐渭《行書錄杜甫詩二首扇面》 上海博物館藏。 ...龔賢·行書漁歌子詞卷 (行書)龔賢《行書漁歌子詞卷》,紙本。29.2×417.5cm。遼寧省博物館藏。刊於《...歐陽玄楷書《春暉堂記》 (楷書)歐陽玄《春暉堂記》卷,紙本,楷書,縱29cm,橫102.9cm。北京故宮博物院藏...劉墉《小楷逸品冊》 (小楷)清代劉墉書法墨跡欣賞《小楷逸品冊》紙本,石庵書於嘉慶元年(1796)。各頁均縱1...今釋《行書畫耕七絕詩軸》 (行書)今釋《行書畫耕七絕詩軸》 190×40cm 廣州儀清室私人藏釋文:人皆耕地我耕...康生書法欣賞 (草書)著名文物鑑賞家、前清翰林院編修陳叔通認為,當代中國有四大書家,分別為:康生、郭沫...漢簡《儀禮》武威漢簡儀禮 放大精選本中國甘肅省武威市漢墓中出土的簡牘。統稱武威漢簡。 1959年,人們在武威磨嘴子墓...文徵明行書手卷 (行書)文徵明行書手卷 長 335厘米,高26厘米,紙本 西安碑林博物館藏圖片來自西安碑...奚岡《草書軸》 (草書)奚岡《草書軸》紙本草書 167.2×44.8cm 湖北省博物館藏 釋文:五湖春...