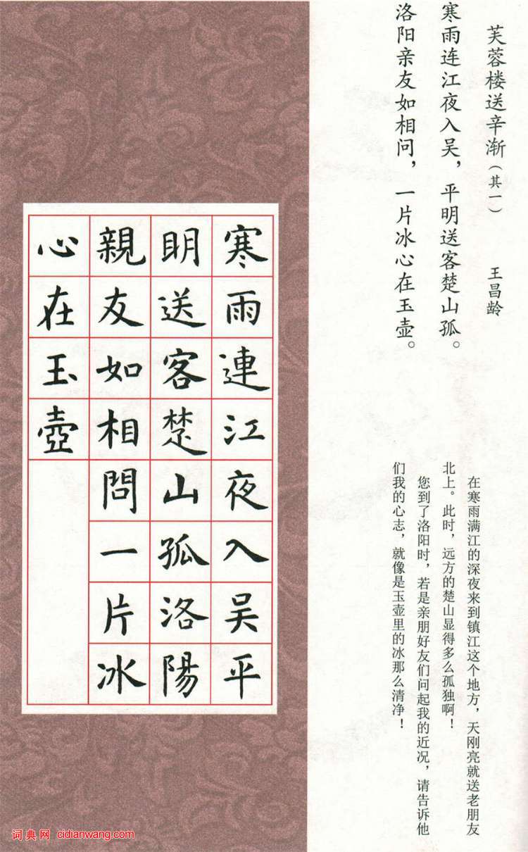
書法欣賞魏晉書法唐朝書法宋朝書法元朝書法明朝書法清朝書法近現代書法字典網>> 歷代書法>> 書法欣賞>> 虞世南楷書集字唐詩(13)正文 虞世南楷書集字唐詩(13)作者:不詳 書體: 王昌齡·芙蓉樓送辛漸(其一) 首 頁 上一頁 9 10 11 12 13 14 15 16 17 18 下一頁 尾 頁相關文章:王守仁《行書唐人秋閨思一首詩軸》 (行書)王守仁《行書唐人秋閨思一首詩軸》紙本行書 212×72.5cm 上海朵雲軒藏釋...馮文蔚小楷臨《九成宮》 (小楷)用硬筆臨摹傳統的毛筆書法字帖,很少有合適的選擇。很多書友擅長硬筆書法,又想向歐楷...趙令畤·跋懷素自敘帖 (行書)【釋文】令畤夏日與 劉延仲呂辯老過 都統太尉王公,觀法書 名畫,如行山陰道上,映...西周金文《散氏盤》書法 (篆書)《散氏盤》又名《散盤》,西周晚期金文,19行,350字。現藏台北故宮博物院。內容...譚延闓《行書臨米芾詩四條屏》 (行書)譚延闓《行書臨米芾詩四條屏》紙本行書 165×36cm×4 常州博物館藏(1...趙孟頫《江南淨土詞十二首》 (行書)至元二十三年(1286年),行台侍御史程鉅夫“奉詔搜訪遺逸於江南”,將趙孟頫引見...倪瓚楷書《呈履道先生詩札》 (楷書)倪瓚《呈履道先生詩札》,紙本,楷書, 香港中文大學藏 釋文:(七)瓚□,月末得■...法若真行書《七言詩軸》 (行書)法若真《行書七言詩軸》綾本行書 195×51cm 山東省博物館藏釋文:兩控山城...金運昌.乾隆題畫詩 (隸書)釋文:茅齋幾架碧溪邊,拂鬢天風意欲仙。松韻湍聲相問答,高人屬耳似聽禪。...文徵明《跋右軍十七帖》 (楷書)文徵明《跋右軍十七帖》,楷書。《十七帖》為書聖王羲之的草書代表之作,不過原跡早已...