魏碑龍門二十品拓本(5)
作者:不詳 書體:魏碑
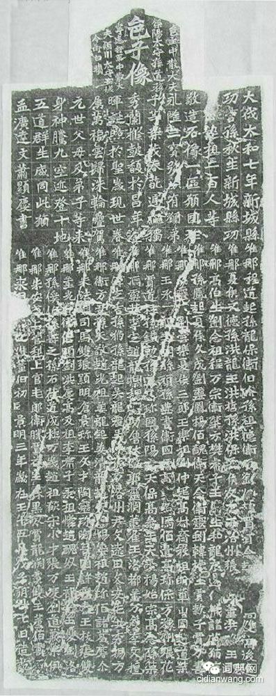
7.《新城縣功曹孫秋生二百人等造像記》

《新城縣功曹孫秋生、劉起祖二百人等造像記》
簡稱《孫秋生造像記》。景陽三(502)年五月刻。在古陽洞南壁。(黃易拓得)正書,13行,上列為記,一行9字;下列題名,行30字。額正書‘邑子像’三字。額旁二太守名:右二行,右三行。乾隆拓本,其記第三行‘劉起祖’之‘劉’字畫完好。在洛陽龍門石窟古陽洞南壁。北魏宣武帝(元恪恪)景明三年(502年)五月廿七日造訖。
此碑書犀利剛勁,寬博樸厚,較《始平公造像》筆法多變,龍門碑刻書法藝術的代表作品之一。孟廣達文,蕭顯慶書。楷書十五行,行三十九字。字型方勁峻拔,沉著勁重。筆法凝練自如。清康有為《廣藝舟雙楫》:“太和以後諸家角出,莊茂則有《孫秋生》”“龍門二十品中,約而分之,亦有數體,《孫秋生》沈著勁重為一體。”
銘文:大伐太和七年,新城縣功曹孫秋生、劉起祖二百人等敬造石像一區,願國祚永隆,三寶彌顯。有願弟子榮茂春葩,庭槐獨秀,蘭條鼓馥於昌年,緊暉誕照於聖歲。現世眷屬萬福雲歸,洙輸疊駕。元世父母及弟子等來身神騰九空,跡登十地,五道群生,鹹同此願。孟廣達文,蕭顯慶。

岳飛所書諸葛亮前後出師表,行草書,只有刻石,未見墨跡。成都的武候祠,南陽的武候祠...
吳昌碩《篆書淵深樹古五言聯》紙本篆書 155×30cm×2 1924年 朵雲...
《受禪表碑》三國魏黃初(202年)刻。在河南許昌縣,額篆書題“受禪表”。字方正,...
釋文:道化編謠三天瑞露,德馨含詠十地仁風。養中一兄大人雅正 弟 陸潤庠陸潤...
古人的書房裡,筆墨紙硯是相當重要的一部分。筆墨展現,文雅生焉。除筆墨紙硯之外,還...
高二適《臨唐高宗大唐經功頌頁》行楷 33×38cm 南京求雨山文化名人紀念館(...
于右任《藏書紀事詩軸》 131.4×31.5cm 台北故宮博物院藏...
鄒元標《五言詩軸》,行書。
【釋文】匠頓首復,伯興承務賢親坐下。首夏清和,伏惟神明贊相,尊候萬福,再會未期,...