龍門二十品之《高樹造像題記》
作者:不詳 書體:楷書
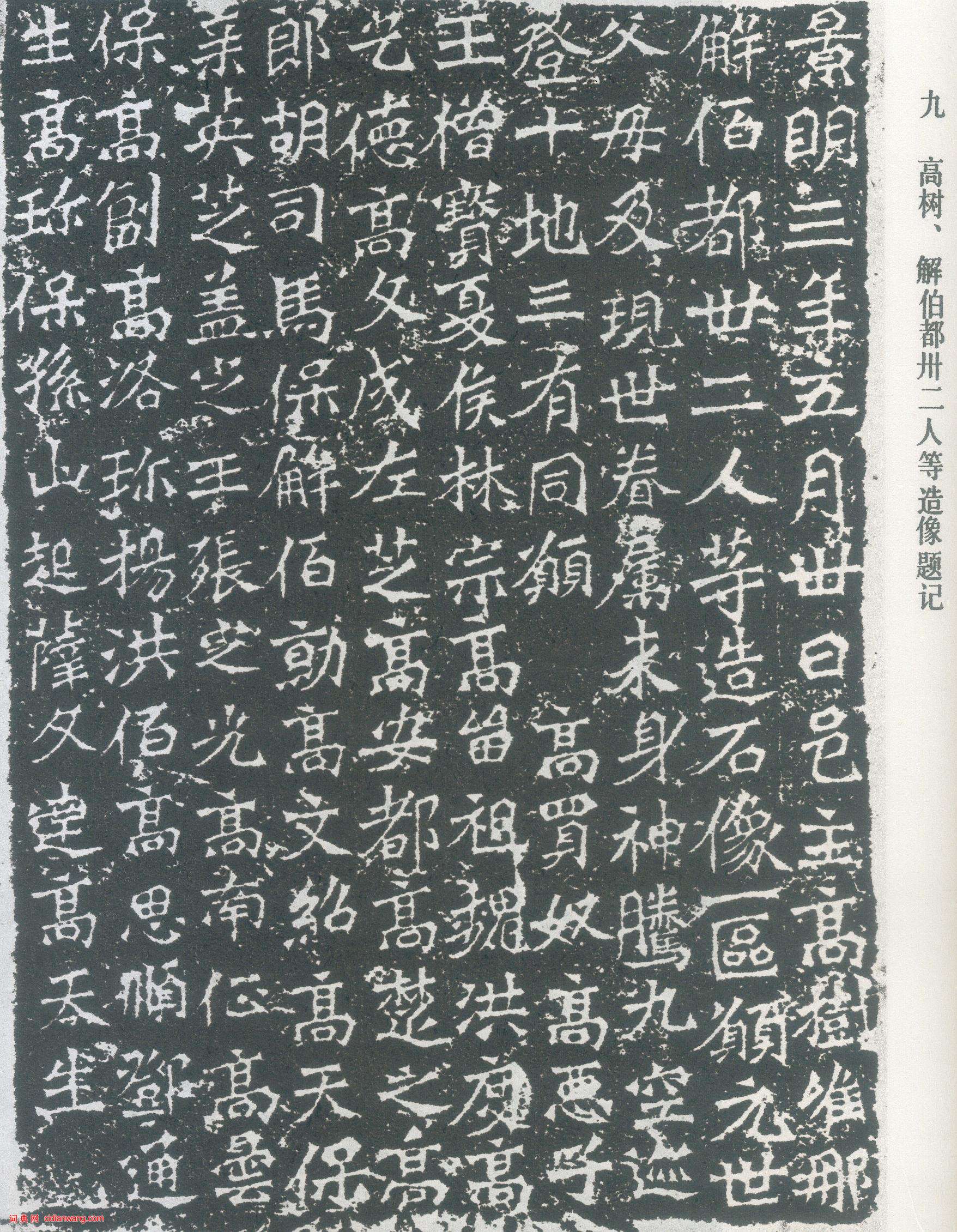
龍門二十品之《高樹造像題記》,全稱《邑主高樹、唯那解伯都卅二人等造像題記》。正書十行,一行14字。可見一百三十九字,書法峻整勁健。景明三(502)年五月刻。在古陽洞北壁。造像龕位於古陽洞北壁右側,與步輦郎妻一弗為亡夫造像記為鄰。龕高94厘米、寬78厘米、深13厘米,主佛結跏趺坐,主佛兩側有二脅侍菩薩,均有背光。此龕完成於景明三年五月三十日。造像記位於造像龕左下方,高40厘米,寬28厘米。記載邑主高樹、解伯都等三十二人的邑社造像,共同祝願仙逝父母及見存眷屬的來生。造像時間於孫秋生二百人造石像記同年同月完工,發願文也大致相同。



顏真卿《送劉太沖敘》書於大曆七年(772年)。拓本。行書,序文。35.6×16...
【釋文】禾黍離離苧葛輕,天河流水照人明。百重紫氣浮陵谷,千堞黃金擁帝城。甬道從來...
龔賢《行書“經故里”詩扇》 上海博物館藏 釋文:歸來非遠客,下馬淚雙垂。故里宛...
張照《御製讀陶詩卷》絹本行書 45×264.5cm 台北故宮博物院藏 釋文:風...
《石門銘》全稱《泰山羊祉開復石門銘》,北魏宣武帝永平二年(509)正月刻,由太原...
新莽嘉量是王莽建立新朝托古改制舉措的產物之一。新(王莽)始建國元年(9)頒行的標...
來楚生《隸書毛澤東聯句》 135×33cm×2 1972年書 張用博藏【資料...
【釋文】丹陽米甚貴。請一航 載米百斛來。換玉 筆架。如何 早一報。恐 他人先。芾...
明 文徵明小楷《跋祝允明草書赤壁賦冊》——錢泳在《履園叢話》中說:“工書者不精小...
《雲麾將軍碑》全稱《唐故云麾將軍右武衛大將軍贈秦州都督彭國公謚曰昭公李府君神道碑...