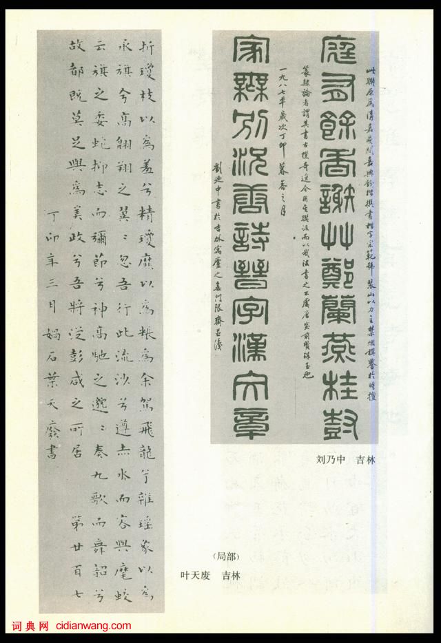
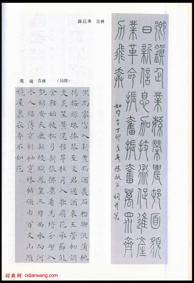
全國第三屆書法篆刻展作品集(36)
猜你喜歡
坐姿與執筆書法講座
2016-03-15 12:42:49
2017年顏真卿集字春聯
2017-01-02 18:22:22
寫楷書方法,寫好楷書15招
2016-02-10 18:46:36
書法寫好了,該如何鈐印?
2016-02-08 13:21:33
歷代篆刻印章的種類及形式
2016-02-25 12:41:39
顏真卿66歲時小楷《乾祿字書》
2016-02-19 12:38:35
臨摹字帖,寫多大合適?
2016-02-17 12:52:40
書法界中的五大臭毛病
2016-04-08 12:40:42
寫春聯最易出錯的30個繁體字
2016-04-13 12:45:44
寫小楷到底如何用墨?
2016-02-20 15:20:11

