柳公權楷書《原道碑》
作者:柳公權 書體:楷書


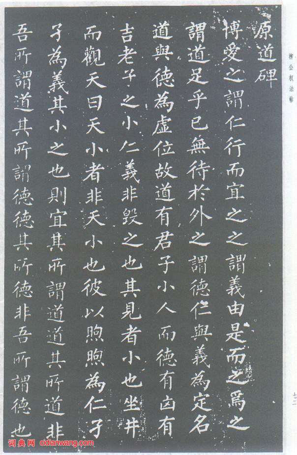
柳公權《原道碑》 楷書 大中5年(851) 10月
唐大中5年10月12日,柳公權正書。
【釋文】:
博愛之謂仁,行而宜之之謂義;由是而之焉之謂道,足乎己無待於外之謂德。仁與義為定名,道與德為虛位。故道有君子小人,而德有凶有吉。老子之小仁義,非毀之也,其見者小也。坐井而觀天,曰天小者,非天小也。彼以煦煦為仁,孑孑為義,其小之也則宜。其所謂道,道其所道,非吾所謂道也;其所謂德,德其所德,非吾所謂德也。凡吾所謂道德雲者,合仁與義言之也,天下之公言也。老子之所謂道德雲者,去仁與義言之也,一人之私言也。
周道衰,孔子沒。火於秦,黃老於漢,佛於晉、魏、梁、隋之間。其言道德仁義者,不入於楊,則入於墨;不入於老,則入於佛。入於彼,必出於此。入者主之,出者奴之;入者附之,出者污之。噫!後之人其欲聞仁義道德之說,孰從而聽之?老者曰:“孔子,吾師之弟子也。”佛者曰:“孔子,吾師之弟子也。”為孔子者,習聞其說,樂其誕而自小也,亦曰:“吾師亦嘗師之云爾。”不惟舉之於其口,而又筆之於其書。噫!後之人,雖欲聞仁義道德之說,其孰從而求之?甚矣!人之好怪也,不求其端,不訊其末,惟怪之欲聞。
迸之為民者四,今之為民者六;古之教者處其一,今之教者處其叄。農之家一,而食粟之家六;工之家一,而用器之家六;賈之家一,而資焉之家六。奈之何民不窮且盜也!
迸之時,人之害多矣。有聖人者立,然後教之以相生養之道。為之君,為之師,驅其蟲蛇禽獸,而處之中土,寒,然後為之衣;飢,然後為之食。木處而顛,土處而病也,然後為之宮室。為之工,以贍其器用;為之賈,以通其有無;為之醫藥,以濟其夭死;為之葬埋祭祀,以長其恩愛;為之禮,以次其先後;為之樂,以宣其郁;為之政,以率其怠倦;為之刑,以鋤其強梗。相欺也,為之符璽斗斛權衡以信之。相奪也,為之城郭甲兵以守之。害至而為之備,患生而為之防。今其言曰:“聖人不死,大盜不止。剖斗折衡,而民不爭。”嗚呼!其亦不思而已矣!如古之無聖人,人之類滅久矣。何也?無羽毛鱗介以居寒熱也,無爪牙以爭食也。是故君者,出令者也;臣者,行君之令而致之民者也;民者,出粟米麻絲,作器皿,通貨財,以事其上者也。君不出令,則失其所以為君;臣不行君之令而致之民,則失其所以為臣;民不出粟米麻絲,作器皿,通貨財,以事其上,則誅。今其法曰:“必棄而君臣,去而父子,禁而相生養之道。”以求其所謂清淨寂滅者。嗚呼!其亦幸而出於叄代之後,不見黜於禹、湯、文、武、周公、孔子也;其亦不幸而不出於叄代之前,不見正於禹、湯、文、武、周公、孔子也。
帝之與王,其號名殊,其所以為聖一也。夏葛而冬裘,渴飲而飢食,其事雖殊,所以為智一也。今其言曰:“曷不為太古之無事?”是亦責冬之裘者曰:“曷不為葛之之易也?”責飢之食者曰:“曷不為飲之之易也。”傳曰:“古之欲明明德於天下者,先治其國;欲治其國者,先齊其家。欲齊其家者,先修其身;欲修其身者,先正其心;欲正其心者,先誠其意。”然則古之所謂正心而誠意者,將以有為也。今也欲治其心,而外天下國家,滅其天常;子焉而不父其父,臣焉而不君其君,民焉而不事其事。孔子之作春秋也,諸侯用夷禮,則夷之,進於中國,則中國之。經曰:“夷狄之有君,不如諸夏之亡!”詩曰:“戎狄是膺,荊舒是懲。”今之舉夷狄之法。而加之先王之教之上,幾何其不胥而為夷也!
夫所謂先王之教者,何也?博愛之謂仁,行而宜之之謂義,由是而之焉之謂道,足乎己無待於外之謂德。其文,詩書易春秋;其法,禮樂刑政;其民,士農工賈;其位,君臣父子師友賓主昆弟夫婦;其服,麻絲;其居,宮室;其食,粟米果蔬魚肉:其為道易明,而其為教易行也。是故以之為己,則順而祥,以之為人,則愛而公,以之為心,則和而平;以之為天下國家,無所處而不當。是故生則得其情,死則盡其常;郊焉而天神假,廟焉而人鬼享。曰:“斯道也,何道也?”曰:“斯吾所謂道也,非向所謂老與佛之道也。”堯以是傳之舜,舜以是傳之禹,禹以是傳之湯,湯以是傳之文武周公,文武周公傳之孔子,孔子傳之孟軻;軻之死,不得其傳焉。荀與揚也,擇焉而不精,語焉而不詳。由周公而上,上而為君,故其事行;由周公而下,下而為臣,故其說長。
然則如之何而可也?曰:“不塞不流,不止不行。人其人,火其書廬其居,明先王之道以道之,鰥寡孤獨廢疾者,有養也,其亦庶乎其可也。”
大中五年辛未十月十二日,柳公權正書。
釋文:廿六年皇帝盡併兼天下諸侯黔首大安立號為皇帝乃詔丞相狀綰法度量則不壹歉疑者皆...
古詩四帖(局部) 作者張旭狂草,又稱“醉草”或“大草”,含有情感跳躍、奔放激越的...
在中國歷史上的眾多君王中,很少有像乾隆皇帝那樣對書法藝術達到一種幾近痴迷的程度。...
《穆亮妻尉太妃墓誌》,北魏景明三年(502)刻。誌石呈正方形,高寬各55厘米。誌...
第三節 紙一、寫毛筆字的紙書法作品一般都寫在宣紙上,因為宣紙最善於表現墨色的枯濕...
祁寯藻《草書臨十七帖軸》紙本行書 102×37cm 山東省博物館藏釋文:諸從並...
葉恭綽 《行書軸》青島市博物館藏(圖片來自青島市博物館網站)
至正五年(1345) 張雨《自書雜詩冊》粉花箋 23.7×15.3cm×24...
蔡卞《唐玄宗鶺鴒頌題跋》,行書。台北故宮博物院收藏。蔡卞,北宋宰相、書法家。蔡京...