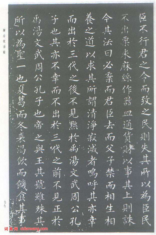
書法欣賞魏晉書法唐朝書法宋朝書法元朝書法明朝書法清朝書法近現代書法字典網>> 歷代書法>> 隋唐>> 柳公權楷書《原道碑》(3)正文 柳公權楷書《原道碑》(3)作者:柳公權 書體:楷書 首 頁 上一頁 1 2 3 4 5 下一頁 尾 頁柳公權的相關書法作品:柳公權行書《紫絲靸帖》 柳公權楷書《金剛經》唐拓孤本 柳公權楷書《神策軍碑》 柳公權小楷《九疑山賦》 柳公權小楷《神道碑》 柳公權楷書《高元裕神道碑》 柳公權行書《伏審帖》 柳公權楷書《原道碑》 柳公權楷書《大唐迴元觀鐘樓銘》 相關文章:白蕉《書法十講》第十講 碑與帖 (不詳)第十講 碑與帖 書學上碑與帖的爭論,是遠自乾嘉以來的事。提倡碑的攻擊帖;喜歡帖的...二玄社王羲之《十七帖》 (草書)《十七帖》法帖淵源《十七帖》是著名的王羲之草書代表作,因卷首由"十七"二字而得名...倪元璐行草《賀文文起宮相舉子詩扇面》 (行草)倪元璐《賀文文起宮相舉子詩扇面》 金箋行草書。安徽省博物館藏釋文:十洞仙人伏闕呼...金琮·秋日山中寫懷詩 (行書)金琮《秋日山中寫懷詩》,行書。西漢隸書《銀雀山漢簡》 (隸書)《銀雀山漢簡》 《銀雀山漢簡》於一九七二年四月間在山東臨沂銀雀山的兩座前漢墓中出...趙孟頫小楷《高上大洞玉經》 (小楷)趙孟頫小楷《高上大洞玉經》元代至元二十八年八月,三十八歲的趙孟俯在北京為友人民瞻...魯迅《錄李賀綠章封事句橫幅》 (行書)魯迅《錄李賀綠章封事句橫幅》 20.7×113cm 1936年 上海魯迅紀念館...何焯行書《趙嘏“汾上宴別”詩軸》 (行書)何焯《趙嘏“汾上宴別”詩軸》紙本行草 113×39.9cm 南京博物院藏【資料...林散之行書《友天下士四言聯》 (行書)林散之《友天下士四言聯》紙本行書 1981年作 浦口求雨山文化名人紀念館-林散之...莫友芝《跋王居士磚塔銘》 (楷書)莫友芝《跋王居士磚塔銘》釋文:真書至初唐極盛。而初唐諸家精詣 北朝無不具有。至開...