吳叡隸書《離騷》
作者:吳叡 書體:吳叡
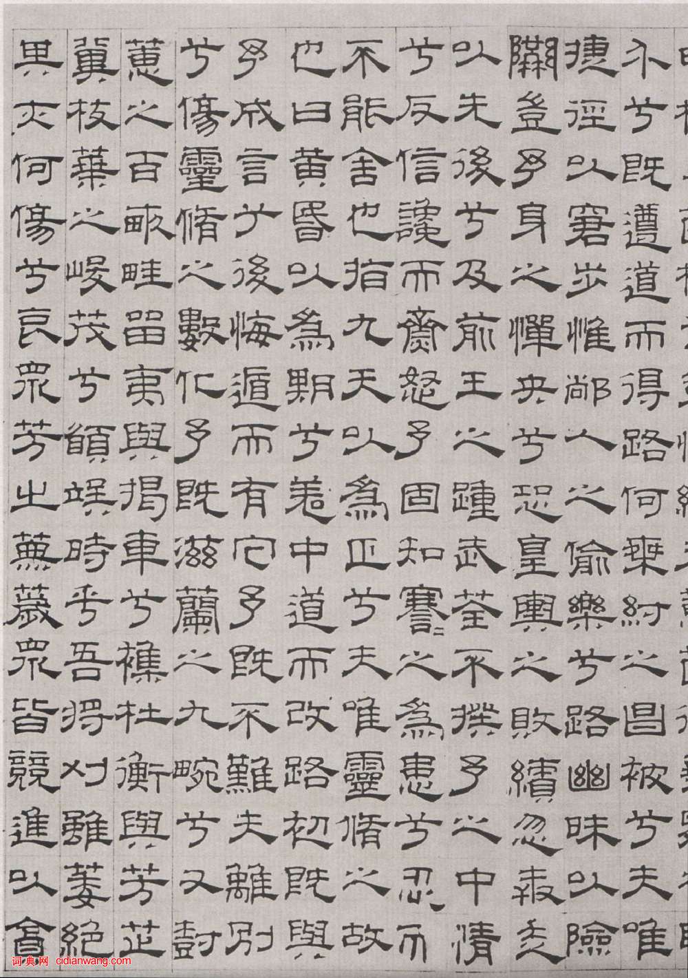
吳叡《篆隸書離騷千字文合卷》全本 上海博物館藏 28.2×223.3 27.7×240,隸書離騷部分
此《篆隸書卷》以隸書離騷、篆書千字文合卷,書於元統二年(1334)。其時吳氏年僅47歲,可謂風華正茂。但見行筆結體老到穩健,布局精微,結構別致,法度嚴謹,字字不苟,是一件流傳有緒的佳作,但古樸不足。轉自上海博物館網站
2016-8-15 12:35:27
作者:吳叡 書體:吳叡
吳叡《篆隸書離騷千字文合卷》全本 上海博物館藏 28.2×223.3 27.7×240,隸書離騷部分
此《篆隸書卷》以隸書離騷、篆書千字文合卷,書於元統二年(1334)。其時吳氏年僅47歲,可謂風華正茂。但見行筆結體老到穩健,布局精微,結構別致,法度嚴謹,字字不苟,是一件流傳有緒的佳作,但古樸不足。轉自上海博物館網站
2016-8-15 12:35:27