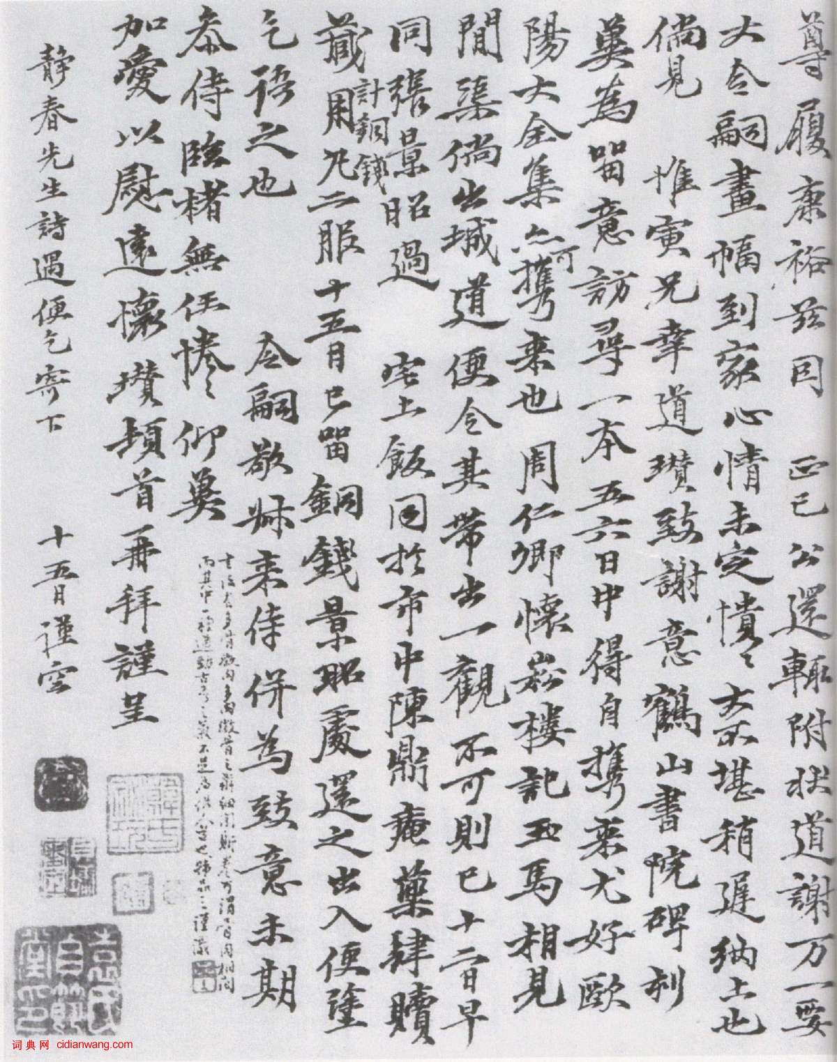
倪瓚行楷《與袁寓齋書畫卷》
作者:倪瓚 書體:行楷


倪瓚《與袁寓齋書畫卷》紙本 1362 縱29厘米 橫59.5厘米 崑崙堂珍藏
釋文:
瓚頓首再拜,寓齋尊丈先生執事,瓚契闊乖違,忽然四改年,思見眉宇時形,夢寐不可得一接也。近因事入城,得拜德公於林下,吳中風流文雅淪落澌盡,獨遺執事巋然如魯靈光。又高年而強健,為之欣慨不能勝情矣
乃復累,飲食敦載之賜相與話先正之前言往行閱秘篋之珍圖名跡此逼區山野麋鹿之蹤何以得此於左右哉惟重銘惑此陶公所謂冥報以相貽者豈徙飲食與亦在情義耳奉別以來已劇瞻詠即日伏想
尊履康裕茲因正已公還輒附道謝萬屑要大令嗣畫幅到家心情未定潰憤大不堪稍遲納上也消見惟寅兄幸道璜致謝意鶴山書院碑刻冀為留意訪尋一本五六日中得自攜來尤好歐陽大全集亦可攜來也周仁卿懷松樓記玉馬相見圖渠俯出城道便令其帶出一觀不可則己十一田旱同張景昭過陛士飯間於市口陳圍頂處藥肆贖藏用九一服十五日已留銅錢景昭處還之出入便塗乞語之也令圖敬叔來侍並為致意未期恭侍臨楮無任恃惜仰冀加愛以慰違懷。
瓚頓首再拜,謹呈
2016-9-7 12:39:21
【釋文】苦筍及茗異常佳,乃可逕來。懷素上。懷素《苦筍帖》卷,草書,絹本,無年款。...
張瑞圖《書王建宮詞等四首條屏》 綾本行草書 261×94.5cm×4條 日本...
此碑全稱《漢郃陽令曹全碑》,又名《曹景完碑》。東漢中平二年(185年)十月立。縱...
《蓬戶手卷》是朱熹傳世墨跡之一。南宋著名理學家、思想家和教育家朱熹宋的書法自古為...
嶧山碑.李斯撰.明拓宋鄭文寶摹刻長安本,又碑後附有鄭文寶跋,碑字雄渾溫雅,無一筆...
盧中南,男,1950年12月生於武漢,祖籍河南濟源。中國著名書法家,享受國務院政...
《十八日帖》,草書,東晉,王珉。王珉,晉(351—388),字季琰,小字僧彌。珣...
【釋文】十年塵夢繞中冷,今日攜壺試一登。醉把花枝歌水調,戲書蕉葉乞山僧。青天月落...
唐 蔣善進臨《智永真草千字文》敦煌石室殘卷 法國國家圖書館藏 轉自敦煌國際項目網...
祝允明《題文伯仁畫楊季靜小像》卷 29.1×23.9厘米 台北故宮博物院藏 ...